Động cơ Perkins là một trong những thương hiệu động cơ hàng đầu của Anh Quốc và trên thế giới. Động cơ Perkins được sử dụng rộng rãi trong các lĩnh vực khác nhau như nông nghiệp, xây dựng, công nghiệp, sản xuất điện và xử lý vật liệu.

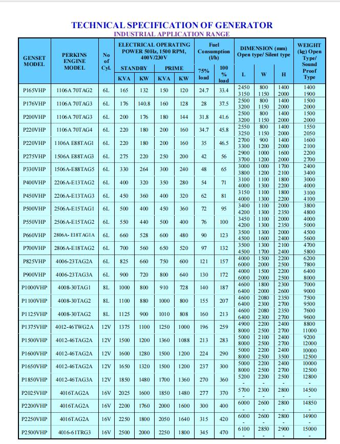
Thông số kỹ thuật

Công ty Cổ phần Đầu tư Thương mại Việt Hòa Phát cam kết rằng các sản phẩm đều được sản xuất lắp ráp theo các tiêu chuẩn ISO 9001:2015, ISO 14001:2015, ISO 45001:2018 và tiêu chuẩn ISO 8528 dành cho tổ máy phát điện.
